Synchronisation des rythmes du système nerveux autonome humain avec l’activité géomagnétique chez les sujets humains
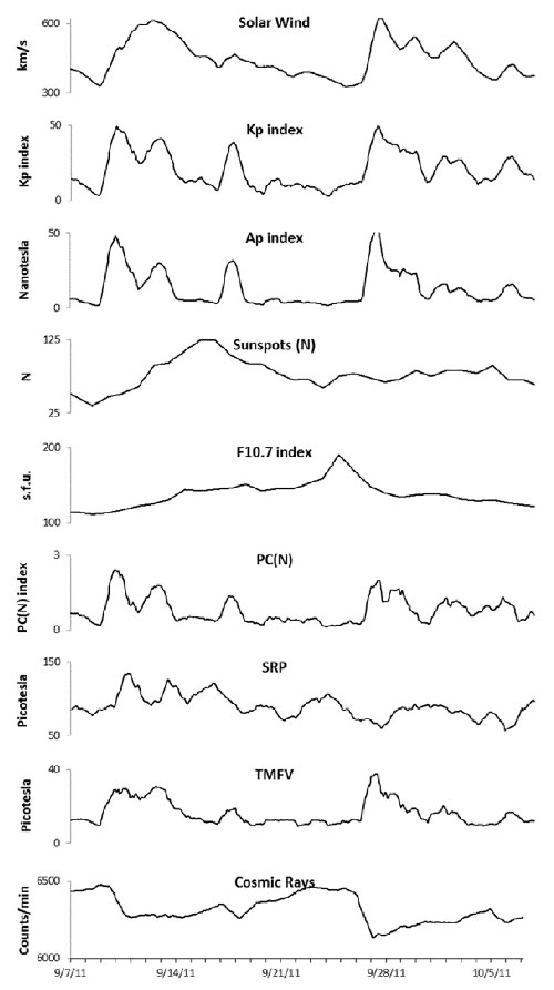
Un couplage entre l’activité géomagnétique et la fonction du système nerveux humain a été identifié grâce à une surveillance continue de la variabilité du rythme cardiaque (VRC) et du champ géomagnétique variable dans le temps sur une période de 31 jours dans un groupe de 10 personnes qui ont suivi leur journée normale. Une analyse de corrélation de séries temporelles a identifié une réponse des systèmes nerveux autonomes du groupe à divers changements dynamiques dans le rayon solaire, le rayon cosmique et le champ magnétique ambiant.
Les coefficients de corrélation et les valeurs p ont été calculés entre les variables VRC et les mesures environnementales pendant trois périodes distinctes d’activité environnementale. Il y avait des corrélations significatives entre la VRC du groupe et la vitesse du vent solaire, Kp (indice géomagnétique global), Ap (indice géomagnétique), le flux radio solaire, le nombre de rayons cosmiques, le pouvoir de résonance de Schumann et les variations totales dans le champ magnétique.
En outre, les données de séries temporelles ont été synchronisées et normalisées, après quoi tous les rythmes circadiens ont été supprimés. On a constaté que les rythmes VRC des participants se synchronisaient pendant une période de 31 jours à une période d’environ 2,5 jours, même si tous les participants se trouvaient dans des endroits distincts. Dans l’ensemble, cela suggère que l’activité quotidienne du système nerveux autonome ne répond pas seulement aux changements de l’activité solaire et géomagnétique, mais est synchronisée avec les champs magnétiques variables dans le temps associés aux résonances de la ligne de champ géomagnétique et aux résonances de Schumann.
L’étude a été publiée dans la revue de spécialité International Journal of Environmental Research and Public Health en 2017 – « Synchronization of Human Autonomic Nervous System Rhythms with Geomagnetic Activity in Human Subjects ».






yogaesoteric
21 septembre 2017