Existența cea veșnică a lui Dumnezeu a fost demonstrată prin intermediul unui argument ontologic de marele matematician și logician Kurt Gödel

Introducere

 

Demonstrația ontologică a lui Gödel constă dintr-o serie de axiome, definiții și teoreme ce sunt enunţate în cadrul teoretic oferit de logica modală, prin care se demonstrează existența lui Dumnezeu. Kurt Gödel (1906–1978) a fost un celebru matematician și logician ce a trăit în secolul al XX-lea, fiind cunoscut în special pentru teorema de incompletitudine ce evidenţiază limitele modelului axiomatic din aritmetica standard. Întocmai ca și prietenul său, genialul savant Albert Einstein, Gödel a avut înclinații către filosofie, descriindu-și propria filosofie ca fiind „raționalistă, idealistă, optimistă și teologică“. El a fost influențat în special de lucrările lui Gottfried Leibniz. Filosofia lui Gödel conținea, ca și în cazul filosofiei lui Leibniz, idei geniale despre teoria monadelor, Dumnezeu fiind considerat drept monada supremă.

Ceea ce este mai puțin cunoscut despre Gödel este faptul că el a schițat o versiune revizuită a argumentului ontologic al Sfântului Anselm de Canterbury (1033–1109). Această formulă nu a fost publicată în timpul vieții, dar în anul 1970 Gödel i-a arătat unui student, Dana Scott (care ulterior a devenit un foarte cunoscut logician) argumentul său, pe care Scott l-a făcut public pentru prima oară în anul 1987, într-un cerc restrâns. Ulterior, acest argument a fost publicat în mai multe lucrări și articole despre logică şi despre filosofie.

Argumentul Sfântului Anselm, prezentat într-o formă succintă, este următorul: „Dumnezeu, prin definiție, este Acela față de care nimeni şi nimic altceva nu poate fi conceput ca fiind mai mare. Dumnezeu există chiar şi în gândire. Dacă Dumnezeu există chiar şi în gândire, ni-L putem imagina ca fiind cel mai mare care există, de fapt, şi în realitate. Tocmai de aceea, în mod necesar Dumnezeu există în veşnicie!!“ O versiune mai elaborată a acestui argument a fost formulată de către filosoful Gottfried Leibniz (1646–1716) la care primează dovedirea existenței în veşnicie a lui Dumnezeu prin mijlocirea rațiunii şi mai ales a conştiinţei.

Glosar

Argument ontologic

Un argument ontologic este un argument deductiv elaborat a priori ce vizează demonstrarea existenței în veşnicie a lui Dumnezeu pornind de la anumite premize raționale, analitice și care sunt necesare.

Gödel a lăsat printre manuscrisele sale o schiță cu paisprezece puncte esenţiale referitoare la convingerile pe care le avea. Punctele relevante pentru demonstrația sa ontologică sunt:
1. Există şi alte lumi (universuri) ce sunt diferite de lumea noastră (cu alte cuvinte, există lumi ce au o frecvență de vibrație diferită de cea a lumii în care noi trăim) și totodată există ființe conştiente ce sunt înzestrate cu rațiune, ce sunt diferite de ființele umane și care, unele dintre ele, există pe un nivel superior de conștiință;
2. Lumea (universul) în care trăim acum nu este singura lume existentă (singurul univers) în care am trăit sau în care vom trăi;
3. Există o filosofie și chiar o teologie științifică (exactă), în care se operează cu anumite concepte ce prezintă cel mai înalt grad de abstractizare; toate acestea fiind, de asemenea, cât se poate de rodnice şi chiar necesare pentru știință.

Demonstrația fundamentală a lui Gödel utilizează logica modală. Argumentele modale abordează problema existenţei lui Dumnezeu în termeni de posibilitate şi de necesitate. Conceptul de existenţă este înlocuit cu cel de existenţă necesară. Despre necesitate şi despre posibilitate se vorbeşte din perspectiva teoriei lumilor.
În cele mai multe semantici ce sunt utilizate pentru logica modală sunt în mod evident considerate mai multe „lumi posibile“ (altfel spus, mai multe lumi paralele). Astfel, o afirmație de acest gen este posibil adevărată doar dacă este adevărată în cel puţin una dintre lumile posibile, şi ea este în mod necesar adevărată doar dacă este adevărată în oricare dintre lumile posibile. Despre o afirmație care este adevărată în unele lumi, dar care este falsă în alte lumi se poate spune că este contingentă (adică poate să fie sau poate să nu fie adevărată).

Semnificația operatorilor logici utilizați in formula lui Gödel

Literele mari (P, G, E, U, V) și cele grecești (φ, ψ) se referă la proprietăți (atribute).
P se referă la calitatea unei proprietăți de a fi pozitivă. Astfel, P(φ) înseamnă că φ este o proprietate pozitivă;
G este proprietatea de „a fi Dumnezeu“;
E este proprietatea de „a exista în mod necesar“ (proprietatea existenței necesare).

Literele mici (x, y etc.) se referă la obiecte (eventual entități) care pot să aibă anumite proprietăți.
Faptul că un obiect x are proprietatea P se notează cu P(x).


Relația de implicare (determinare)
se notează cu →. Dacă φ și ψ sunt 2 proprietăți, φ → ψ dacă și numai dacă în toate lumile posibile, toate obiectele (entităţile) care au proprietatea φ au și proprietatea ψ. Este necesar să observăm că dacă în niciuna din lumile posibile nu există niciun obiect (entitate) cu proprietatea φ, atunci în mod automat aceasta face ca φ implică pe ψ.

Relația de echivalență (↔)
între 2 proprietăți. A ↔ B înseamnă că A → B și B → A. Spunem că „A este echivalent cu B“.
Definiția. A ⇔ B înseamnă că „A este definit ca fiind B“.
Operatorul modal ⎕ semnifică necesitatea. ⎕P se citește: în mod necesar P este adevărată.
Operatorul modal ◇ semnifică posibilitatea. ◇P se citește: este posibil ca P să fie adevărată.
Operatorul logic ∀ are semnificația „oricare“ sau „orice“.
Operatorul logic ∃ are semnificația „există“.
Operatorul logic ¬ are ca semnificație negația proprietății sau obiectului în fața căruia se află.
Operatorul logic ⋀ are semnificația „și“; reprezintă conjuncția a două propoziții sau proprietăți.

Formula lui Gödel explicitată, rând pe rând și comentată

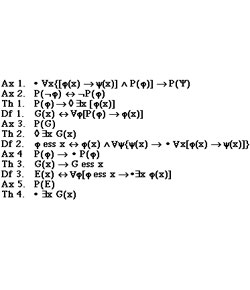
Axioma 1. {P(φ) ∧ ⎕∀x [φ(x) → ψ(x)]} → P(ψ)

Comentariu: Această axiomă afirmă că, dacă φ este o proprietate pozitivă (în notaţie simbolică, P(φ)) și proprietatea φ implică (sau, în alți termeni, determină) proprietatea ψ (aceasta însemnând că, în mod necesar, orice entitate x care are proprietatea φ, are și proprietatea ψ: ⎕∀x [φ(x) → ψ(x)]), atunci ψ este de asemenea o proprietate pozitivă, P(ψ).
Altfel spus, orice proprietate determinată – adică în mod strict implicată – de o proprietate pozitivă este, la rândul său, pozitivă.

În conformitate cu afirmațiile unuia dintre biografii săi, pentru Gödel „Ceva este pozitiv (benefic) dacă este considerat în sens moral (spiritual) și estetic (independent de structura în aparenţă accidentală a lumii)… Ceva pozitiv poate fi, de asemenea, un atribut intrinsec, implicit, care este opusul a ceva limitat sau condiţionat“. Privind dintr-o perspectivă spirituală, aceasta ne face să ne gândim imediat la Atributele dumnezeiești, care sunt caracterizate de o energie subtilă, sublimă, pură, a cărei frecvență de vibrație nu se modifică niciodată.

Axioma 2. P(¬φ) ↔ ¬P(φ)


Comentariu
: Această axiomă afirmă că, pentru orice proprietate φ, una și numai una dintre proprietățile φ și ¬φ (negația lui φ) este pozitivă. (Dacă negația lui φ, ¬φ, este pozitivă, aceasta este echivalent cu faptul că φ nu este pozitivă.)
Cu alte cuvinte, dacă o proprietate este pozitivă, atunci negația sa nu este pozitivă.

Teorema 1. P(φ) → ◇∃x[φ(x)]

Comentariu: Dacă φ este pozitivă (P(φ)), atunci este posibil să existe o entitate x care are proprietatea φ.

Demonstrația teoremei 1: Să considerăm o proprietate pozitivă, φ. Presupunem acum prin reducere la absurd că nu există nicio entitate x care să aibă proprietatea φ. În logica modală o astfel de proprietate este numită inconsistentă. În conformitate cu una din axiomele logicii modale, proprietatea φ implică, în mod trivial, orice altă proprietate; în particular, φ va implica negația sa, ¬φ. Din Axioma 1 rezultă că ¬φ este, de asemenea, pozitivă; dar aceasta contrazice Axioma 2.
În concluzie, dacă o proprietate este pozitivă, atunci se poate afirma că este consistentă, adică este posibil să existe o entitate x care are această proprietate.

Definiția 1. G(x) ⇔ ∀φ[P(φ) → φ(x)]

Comentariu:  Spunem că entitatea x are proprietatea de „a fi Dumnezeu“, proprietate notată cu G (de la God), atunci când ea posedă (este caracterizată de) orice proprietate pozitivă. Astfel, x are proprietatea de „a fi Dumnezeu“ dacă și numai dacă x are drept proprietăți (atribute) numai și numai acele proprietăți (atribute) care sunt pozitive (cu alte cuvinte este caracterizat de toate Atributele dumnezeiești).
Din această definiție rezultă că Dumnezeu este în veşnicie unic, în conformitate cu legea indiscernabilității a lui Leibniz: două sau mai multe obiecte sunt identice dacă au exact aceleași proprietăți.

Axioma 3. P(G)

Comentariu: Această axiomă afirmă că proprietatea de „a fi Dumnezeu“ este pozitivă (benefică).

Teorema 2. ◇ ∃x G(x)

Comentariu: Este posibil să existe o entitate x care are proprietatea de „a fi Dumnezeu“.
Demonstrația teoremei 2: Rezultă direct din teorema 1 aplicată axiomei 3.

Definiția 2. φ ess x ⇔ φ(x)⋀∀ψ {ψ(x) → ⎕∀x [φ(x) → ψ(x)]}


Comentariu
. Numim o proprietate, φ, ca fiind proprietate-esență a lui x (simbolic, φ ess x) atunci când sunt îndeplinite următoarele două condiții:
1. x are proprietatea φ (simbolic, φ(x))
2. pentru orice proprietate ψ astfel încât x are proprietatea ψ atunci în mod necesar φ implică pe ψ (cu alte cuvinte, orice obiect care are proprietatea φ are, în mod necesar, și proprietatea ψ: ⎕∀x [φ(x) → ψ(x)]).
Să observăm că dacă φ și ψ sunt 2 proprietăți-esență ale lui x, atunci din definiția 2 rezultă că φ → ψ și ψ → φ, adică φ ↔ ψ (φ este echivalent cu ψ). Din punct de vedere ocult, această afirmație, care este adevărată în cadrul logicii modale, poate fi interpretată prin faptul că esența unui individ este unică.

Așa cum se poate deduce dintr-o scrisoare datată 14 august 1961, Gödel credea că și oamenii, nu numai Dumnezeu, au o esență veşnică: „Între toate ființele conştiente ce există, «Eu» sunt cu exactitate combinația acelor proprietăți a căror natură are calitatea aceasta și aceea“.

Axioma 4. P(φ) → ⎕ P(φ)

Comentariu la axioma 4. Această axiomă afirmă că, dacă φ este o proprietate pozitivă (benefică), atunci în mod necesar φ este pozitivă. Cu alte cuvinte, nu este posibil ca într-o anumită lume paralelă, φ să fie pozitivă și într-o altă lume aceeași proprietate, φ, să fie negativă (malefică).

Această axiomă a suscitat unele obiecții din partea unor filosofi. Unii cercetători au sugerat ca axioma 4 să fie modificată astfel ca ea să facă referire doar la acele proprietăți intrinseci (care sunt proprii, specifice unui lucru, aspect, entitate etc. și care sunt independente de relațiile cu alte lucruri), caz în care argumentului lui Gödel nu i se mai pot aduce obiecții.

Să remarcăm faptul că dacă în axioma 4 luăm în considerare doar acele proprietăți care sunt Atributele divine esențiale, dumnezeiești, cum ar fi iubirea, compasiunea, iertarea, erosul pur, altruismul, instantaneitatea, bunătatea etc., atunci Axioma 4 capătă sens, deoarece Atributele Dumnezeiești sunt astfel de proprietăți esențiale, intrinseci Ființei lui Dumnezeu, care în mod necesar sunt pozitive (benefice) în oricare dintre lumile posibile.

Teorema 3. G(x) → G ess x


Comentariu
. Dacă un obiect x are proprietatea de „a fi Dumnezeu“, atunci aceasta este o proprietate-esență a lui x.
Demonstrația teoremei 3. Considerăm entitatea x care are proprietatea de „a fi Dumnezeu“, G(x). Presupunem că x are o proprietatea Q. Deoarece x nu are nicio proprietate negativă, rezultă că Q este pozitivă. De aceea, conform Axiomei 4, Q este în mod necesar pozitivă. Atunci, conform Definiției 1 (referitoare la proprietatea de „a fi Dumnezeu“), x are proprietatea Q. Conform Definiției 2 (a proprietății-esență a unui obiect x), rezultă că proprietatea de „a fi Dumnezeu“, G, este proprietate-esență a lui x.

Definiția 3. E(x) ⇔∀φ[φ ess x → ⎕ ∃x φ(x)]

Comentariu. Prin definiție, afirmăm că entitatea x are o existență necesară (și notăm aceasta cu E(x), unde E este proprietatea sau atributul existenței necesare), dacă și numai dacă pentru orice proprietate-esență φ, a lui x, în mod necesar există o entitate care are proprietatea φ în oricare dintre lumile posibile.

Axioma 5. P(E)

Comentariu. Prin această axiomă se postulează că existența necesară este o proprietate pozitivă (benefică).

Teorema 4. ⎕ ∃x G(x)

Comentariu. În mod necesar, există o entitate x care are proprietatea de „a fi Dumnezeu“ în toate lumile posibile. Cu alte cuvinte, Dumnezeu există pretutindeni în veşnicie.
Demonstrația teoremei 4. Știm din teorema 2 că este posibil să existe o entitate x care are proprietatea de „a fi Dumnezeu“, G(x). Rezultă că x are orice proprietate pozitivă. Din Axioma 5 rezultă că x are proprietatea existenței necesare, E(x). Deoarece G (proprietatea de a fi Dumnezeu) este proprietate-esență pentru x (în conformitate cu Teorema 3), atunci din Definiția 3 rezultă că, în mod necesar, există o entitate care are proprietatea de a fi Dumnezeu.

Reformularea argumentului ontologic al lui Gödel din perspectiva tainei Atributelor Dumnezeiești și a Legii Rezonanței oculte

În conformitate cu taina dezvăluită a Atributelor Dumnezeiești, acestea sunt nişte caracteristici esențiale ale lui Dumnezeu (perfecțiuni dumnezeieşti) și despre ele se poate spune că sunt, fiecare dintre ele, caracterizate de existența unor energii subtile sublime, distincte, ce prezintă o anumită frecvență de vibrație care nu se modifică niciodată.
Dumnezeu se  face astfel cunoscut oamenilor prin intermediul Atributelor Sale Dumnezeieşti. În universul lăuntric al fiecărei ființe umane există zone corespondente (puncte focar) de rezonanță ocultă cu fiecare dintre aceste Atribute.

În cele ce urmează vom rescrie formula lui Gödel din perspectiva Atributelor Divine. Astfel, vom înlocui P – calitatea de a fi pozitivă a unei proprietăți – cu AD, calitatea unei proprietăți de a fi un Atribut Dumnezeiesc. Proprietatea G are aceeași semnificație întocmai ca în formula lui Gödel: „a fi Dumnezeu“. De asemenea, în formula următoare vom nota prin E Existența Divină prin Sine Însăși (aseitas în latină) care este acel atribut al lui Dumnezeu care se referă la Existența esenţială a lui Dumnezeu ca provenind doar din El Însuși, în virtutea propriei Sale Esențe, neavând drept cauză nimic care să fie în afara Lui Însuși. Acest Atribut al lui Dumnezeu se referă la faptul că Dumnezeu este, sau altfel spus există, fără o cauză, Existența Sa nedepinzând de nicio altă ființă. Privind toate acestea dintr-o altă perspectivă, se poate spune că acest atribut poate fi înțeles în felul următor: Dumnezeu Își este în mod absolut suficient Sieși, propria Sa rațiune de a exista rezidând numai şi numai în Sine Însuși. Acesta este un Atribut Dumnezeiesc care Îl distinge pe Dumnezeu de oricare dintre creaturile Sale, care fiecare își datorează existența unicului lor Creator, Dumnezeu.

Așa cum a arătat Sf. Toma de Aquino, Dumnezeu are în veşnicie o Existență per se, adică în virtutea propriei Sale Esențe Dumnezeiești. Aceasta nu înseamnă că Dumnezeu este propria Sa cauză într-un sens strict cauzal, căci aceasta ar implica faptul că există o distincție între Dumnezeu ca și cauză și Dumnezeu ca efect, ceea ce ar fi în mod evident absurd. Aceasta înseamnă că Existența cea veşnică a lui Dumnezeu este identică cu Esența Sa și deci Esența lui Dumnezeu include în mod necesar Existența Însăși, fără de care Dumnezeu nu ar exista. Deci Dumnezeu este prin excelență Ființa cea Eternă Necesară.

În continuare vom reda argumentul ontologic al lui Gödel în care definițiile, axiomele și teoremele sunt rescrise astfel încât toate referirile la proprietățile pozitive au fost înlocuite cu referiri la Atributele Divine. Am adăugat câteva comentarii, pentru a face în felul acesta mai accesibilă înțelegerea argumentului modal.

Axioma 1. {AD(A) ∧ ⎕∀x [A(x) → B(x)]} → AD(B)

Comentariu: Această axiomă afirmă că, dacă A este un Atribut Divin și A implică B, atunci B este de asemenea un Atribut Divin.
Spre exemplu, să presupunem că A este Atributul Iubirii Dumnezeiești. Putem spune că orice ființă umană care rezonează plenar şi profund cu acest Atribut Dumnezeiesc manifestă de asemenea și calitatea de a fi bun. În conformitate cu Axioma 1, Bunătatea este un alt Atribut Dumnezeiesc care este implicat de Atributul Iubirii Dumnezeiești.

Axioma 2. AD(¬A) ↔ ¬AD(A)


Comentariu
: Această axiomă afirmă că, dacă A este un Atribut Divin, atunci cu siguranță negația lui A (care este indiferenţa) nu este un Atribut Divin.

Teorema 1. AD(V) → ◇∃x[V(x)]

Comentariu: Dacă V este un Atribut Divin, atunci în cel puțin una dintre lumile paralele posibile există o entitate care este caracterizată de acest Atribut Divin.

Definiția 1. G(x) ⇔ ∀φ[AD(φ) → φ(x)]

Comentariu: O entitate x are proprietatea de „a fi Dumnezeu“ dacă și numai dacă ea este caracterizată de toate Atributele Divine.
În conformitate cu această definiție, existența lui Dumnezeu implică totodată și unicitatea Sa eternă.

Axioma 3. AD(G)

Comentariu: Această axiomă afirmă că proprietatea de „a fi Dumnezeu“ este un Atribut Dumnezeiesc.

Teorema 2. ◇ ∃x G(x)

Comentariu: În cel puțin una din lumile posibile există o entitate care are proprietatea de „a fi Dumnezeu“.

Definiția 2. V ess x ⇔ V(x)⋀∀U {U(x) → ⎕∀x [V(x) → U(x)]}

Comentariu. Proprietatea V este o „esență“ a lui x dacă și numai dacă sunt îndeplinite condițiile:
Entitatea x are proprietatea V;
Dacă x are și proprietatea U, atunci U este implicată de V.

Axioma 4. AD(φ) → ⎕ AD(φ)


Comentariu
: Această axiomă afirmă că, dacă o anumită proprietate este un Atribut Dumnezeiesc, atunci ea este un Atribut Dumnezeiesc în toate lumile.

Teorema 3. G(x) → G ess x

Comentariu. Dacă o entitate x are proprietatea de „a fi Dumnezeu“, atunci proprietatea de „a fi Dumnezeu“ este o esență a lui x.
Esența lui Dumnezeu este însăși Existența Sa eternă.

Definiția 3 (Existența necesară). E(x) ⇔∀V[V ess x → ⎕ ∃x V(x)]

Comentariu. Entitatea x are o existență necesară dacă pentru orice proprietate V, dacă V este o esență a lui x, atunci în aproape toate lumile posibile există o entitate care are proprietatea V.

Axioma 5. AD(E)

Comentariu. Această axiomă afirmă că existența necesară în eternitate este un Atribut Dumnezeiesc.
Despre Atributul Dumnezeiesc ce este vizat de axioma 5 putem spune că este Existența Divină prin Sine Însăși (Aseitas).

Teorema 4. ⎕ ∃x G(x)

Comentariu. În aproape toate lumile posibile există o entitate care are proprietatea de „a fi Dumnezeu“.

Demonstrarea argumentului ontologic al lui Gödel cu ajutorul unui program informatic în cadrul logicii modale

Christoph Benzmüller și Bruno W. Paleo au scris recent, în anul 2013, un scurt articol (Formalization, Mechanization and Automation of Gödel’s Proof of God’s Existence, 2013, Free University of Berlin and Vienna University of Technology) în care se descrie verificarea cu ajutorul unor programe în mod strict specializate a demonstrației lui Kurt Gödel referitoare la existența lui Dumnezeu.

Gödel și-a structurat demonstrația referitoare la existența lui Dumnezeu în aceeași manieră ca și vestitul filosof și matematician grec, Euclid, care a fondat un sistem matematic extrem de riguros, ce era înzestrat cu axiome și definiții, pe baza cărora el și-a demonstrat celebrele teoreme printr-o argumentație logică, teoreme care sunt valide și utilizate de matematicieni până în ziua de astăzi.

Cei doi cercetători (unul fiind cercetător în domeniul informaticii, iar celălalt fiind cercetător în domeniul logicii) au codat formula lui Gödel și apoi au verificat demonstrația sa cu mai multe programe automate care au fost structurate special ca să lucreze cu operatori și cu afirmații care aparțin logicii modale. Aceste programe sofisticate, numite „Nitpick“, „Sledgehammer“ și „Metis“ au fost apoi rulate pe un computer MacBook suficient de puternic pentru aceasta.

Benzmüller și Paleo afirmă în articolul lor că au utilizat diferite sisteme de logică modală pentru a verifica demonstrația lui Gödel. Atât programele, cât și sistemele modale ce au fost folosite de către cei doi cercetători (sistemul lui Kripke, sistemul B și sistemul S4 – S5, ale căror axiome specifice nu le redăm aici) au confirmat apoi validitatea argumentului ontologic al lui Gödel.

BIBLIOGRAFIE
Anderson, C., 1990, „Some Emendations on Gödel’s Ontological Proof“, Faith and Philosophy, 7: 291–303.
Christopher G. Small, „Reflections On Gödel’s Ontological Argument“, University of Waterloo
Glick, „Kripke’s contributions to Modal Logic“
Modal Logic, Stanford University
Sobel, J., 1987, „Gödel’s Ontological Proof“, in On Being and Saying: Essays for Richard Cartwright, J. Thomson (ed.), Cambridge, MA: MIT Press, pp. 241–61.
 

Citiți și:

Urmele misterioase şi fascinante ale paşilor lui Dumnezeu în manifestare

Conştiinţa – de la atom la fiinţa umană

TETRAKTYS, știinţa ciclurilor şi a ritmurilor care compun universul

yogaesoteric
3 aprilie 2015


 

Spune ce crezi

Adresa de email nu va fi publicata

Acest site folosește Akismet pentru a reduce spamul. Află cum sunt procesate datele comentariilor tale.

This website uses cookies to improve your experience. We'll assume you're ok with this, but you can opt-out if you wish. Accept Read More