Le Groupe « Chimera » (2)

Lisez la première partie de cet article

Calcul de l’énergie du faisceau de particules

Présentation du faisceau de particules :

Ce qui suit sont des extraits d’un document de relations publiques appelé « RHIC par les chiffres », publié par le Laboratoire national de Brookhaven (BNL).

Citation 1 :

Le faisceau de RHIC se déplace à 99,995 pour cent de la vitesse de la lumière (186,000 miles par seconde, soit plus de 300.000.000 mètres par seconde).

Citation 2 :

Le faisceau de RHIC n’est pas continu – il est composé de 57 « paquets » différents contenant chacun des milliards d’ions.

Citation 3 :

Les ions de RHIC sont si petits que, même à près de la vitesse de la lumière, la force de leur impact est quasiment le même équivalent que l’impact de deux moustiques entrant en collision.

Sur le site BNL (Broohaven National Laboratory), on découvre que des atomes d’or sont utilisés pour le faisceau de particules.

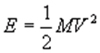
Calcul de l’énergie du faisceau de particules :

L’énergie contenue dans un objet en mouvement, que ce soit une voiture, boule de neige, ou faisceau de particules composées d’atomes d’or est calculé ainsi :

 

[Eq. 1]

Où :

E = énergie en Joules.

m = masse en kilogrammes.

V = vitesse en mètres par seconde.

La masse d’un atome d’or est de 3,2697 -21 grammes, et la masse de 2 milliards d’atomes d’or est de 6,5394 -12 grammes ou 6,5394 -15 kg. Merci à la relativité d’Einstein, la masse effective de tout objet se déplaçant à une vitesse proche de la lumière augmente par:

 

[Eq. 2]

À 99,995% de la vitesse de la lumière, la masse effective est un peu plus de 100 fois la masse au repos, donc nos 2 milliards d’atomes d’or ont une masse effective de 6,5394 -13 kg. Ensuite, la vitesse de la lumière est de 299.792.458 mètres par seconde dans le vide, et 99,995% de vitesse de la lumière est 299.777.468 mètres par seconde.

Par conséquent :

E = 6,5394 -13 – 299 777 486 2 – 0.5 = 29.383,7 Joules

Et puisque le RHIC stocke 57 paquets de particules, l’énergie totale est: 57 – 29383,7 = 1674871 Joules. Ceci est près de 3 fois l’énergie d’une automobile de 1587 kg s’écrasant dans un mur à 96.5 km/h ! Et toute cette énergie concentrée dans 57 paquets, chaque petite que la période à la fin de cette phrase, et se déplaçant à une vitesse proche de de la lumière. Il semble rappeler l’extrait numéro 3 (ci-dessus) dit la vérité, mais pas toute la vérité … Il convient de mentionner que, selon BNL, le RHIC n’a pas produit un faisceau de particules jusqu’à juillet 1999. Cependant, étant donné la nature secrète de DOE, cette date est suspecte. En outre, comme la ligne tracée sur la photo aérienne de BNL montre clairement, l’anneau AGS est également capable de fournir des faisceaux de particules dans les bâtiments de systèmes d’armes.


Analyse de l’installation nucléaire de Shoreham

Analyse photo aérienne :

La photo ci-dessous est une vue aérienne de l’installation de production d’énergie nucléaire Shoreham, propriété de Long Island Power Authority (LIPA). Selon LIPA, cette installation a été mise hors service en juin 1987 et le combustible nucléaire enlevé. Cette photo a été prise en août 1994. Notez le parking plein de voitures, dans le coin supérieur droit de la photo. A noter également les voitures garées le long des bords de gauche des bâtiments dans le coin inférieur gauche de la photo. Une autre particularité est le complexe isolé de bâtiments dans la partie moyenne supérieure de la photo. Remarquez comment une bande de forêt a été laissé entre le complexe et la plage pour la dissimulation. Notez en outre la dissimulation de la route à faible trafic reliant le complexe à la route dans le centre de la photo.

Une autre caractéristique intéressante est le sentier qui mène à la plage, au bord de la partie droite du complexe. Quand tout cela est regroupé, ce complexe a la signature classique d’un point d’accès souterrain rural.

 

Cette installation est pleinement opérationnelle et est utilisé pour fournir la puissance électrique du système à faisceau de particules caché à Brookhaven National Laboratory. (…)

Analyse de Montauk

Analyse photo aérienne:

La photo ci-dessous est une vue aérienne de Montauk Point State Park, et de la base militaire Camp Hero, tous deux situés à l’extrémité Est de Long Island. L’autoroute en boucle et un grand parking dans le coin en haut à droite sont à côté de the Montauk light house (un monument national).

Le complexe de routes et de vastes structures à partir du bord gauche de la photo, et qui continuent au bord droit comprend la base militaire Camp Hero. Pendant de nombreuses années, il y a eu une controverse persistante autour de la base militaire Camp Hero (CHMR).

 

Selon de nombreux témoignages, ce site a été secrètement utilisé pour des expériences de contrôle de l’esprit, recherches des armes de pointe / tests, et comme un portail de machine à remonter le temps. Ces efforts clandestins sont généralement connus et collectivement par le terme « Projet Montauk ». À première vue, le contrôle de l’esprit, les armes à faisceaux de particules, et le Voyage dans le temps peut sembler avoir peu en commun. Cependant, les trois tâches utilisent une puissance élevée énergie électro-magnétique. Les accélérateurs à faisceaux de particules à Brookhaven sont utilisés pour fournir l’énergie nécessaire (directement dans le cas des armes à faisceaux de particules, et indirectement dans le cas de contrôle de l’esprit, et Voyage dans le temps).

 

La photo ci-dessus est un agrandissement de la partie centrale inférieure de la photo précédente. Remarquez la forme d’anneau artefact qui mesure environ 100 mètres de diamètre. Une vérification croisée de la carte topologique USGS avec une vue générale Indique que l’artefact ne correspond pas à une fonction naturelle du sol.

Cet artefact est la signature de la surface visible d’une structure souterraine. Les manifestations de ce genre sont causées par deux processus distincts.

(1) Perturbation de l’aquifère naturel par la structure souterraine.

(2) EM ou une fuite de la chaleur à partir de la structure souterraine de modifier la croissance de la végétation de surface.

Un anneau de 100 yards est trop petit pour être un principal accélérateur de faisceau de particules, mais il est juste à la bonne taille pour un synchrotron à électrons du même type que celui utilisé pour créer un vide partiel « tunnel » à travers l’atmosphère de la cible (voir analyse NSLS, Brookhaven bien au-dessus). Une autre utilisation de rayonnement synchrotron à électrons généré est la modulation du comportement humain (contrôle de l’esprit). Bien que le rayonnement EM soit elle-même pure, le processus de génération de synchrotron à électrons permet d’accéder à des parties du spectre électromagnétique qui ne sont pas normalement disponibles grâce à l’utilisation de générateurs RF classiques. Ces longueurs d’onde sont particulièrement utiles, car ils sont de la même ampleur (taille) que certaines des microstructures au sein du cerveau humain.

En outre, étant donné que les longueurs d’onde en question ne se produisent pas dans le milieu naturel, le cerveau humain n’a pas de l’immunité innée. Les niveaux élevés de puissance qui peuvent être atteints avec un synchrotron à électrons permet à ceux que beaucoup de sujets soient « traités » simultanément.

 

La photo ci-dessus est un autre élargissement d’une section de la première photo. Encore une fois nous voyons un anneau artefact (bien mieux caché). L’artefact est plus indicatif de la perturbation de l’aquifère que de la perturbation directe de la végétation. Cet anneau est situé au-dessus et un peu à gauche de l’anneau plus petit sur la photo précédente. En outre, une fois que vous savez où chercher, l’anneau est en réalité considérablement plus grand que l’autre photo. Avec un diamètre approximatif de 275 mètres, l’anneau est approximativement de la même taille que l’accélérateur de particules AGS de Brookhaven. L’anneau pourrait être un accélérateur de faisceau de particules principal, mais avec l’installation Brookhaven si proche, une meilleure utilisation serait comme un anneau de stockage secondaire pour l’accélérateur de faisceau de particules principal, à Brookhaven.

Cette conclusion est étayée par le fait que les accélérateurs nécessitent beaucoup plus d’énergie que les anneaux de stockage, et une pléthore d’équipements auxiliaires qui représenterait la duplication inutile des installations de Brookhaven. La localisation de l’installation de lancement d’armes à faisceau de particules est plus problématique.

À Brookhaven, la nature de la double utilisation des installations rend la tâche relativement facile, mais le complexe souterrain Montauk est par définition une base secrète et donc beaucoup moins d’indices sont disponibles pour l’analyse.

 

 

En supposant que l’installation de lancement d’armes de faisceau de particules n’est pas complètement camouflé, et en supposant que les deux anneaux se connecte à l’installation de lancement via la ligne de faisceau droit, le meilleur choix pour la ligne de lancement de faisceau de particules est sur la photo ci-dessus.

La deuxième photo ci-dessus montre une vue agrandie du point de lancement de faisceau de particules suspect. Il est intéressant de noter que tous ces composants d’armes à faisceaux de particules sont en dehors de la partie clôturée de CHMR. C’est un exemple classique de mauvaise orientation, et de l’idée qu’il faut « le cacher de la vue ». L’analyse des systèmes de portail de machine à remonter le temps est au-delà de la portée de ce document. Il suffit de dire que les expériences impliquant le déplacement de temps est extrêmement dangereux et est donc situé un site isolé, à l’écart des grands centres de population et une infrastructure importante (comme le Brookhaven National Laboratory) est conseillé.

Cependant, la nature de ces expériences nécessite également l’accès à des concentrations d’énergie qui ne peuvent être obtenus par des accélérateurs de particules (telles que Brookhaven). Sur la base de cet ensemble d’exigences, point de Montauk (et CHMR) semble être le compromis idéal. Cependant, il est de l’avis des auteurs que si un accident se produit, Montauk se révélera beaucoup trop près pour ne pas être atteint …
 
 
 

yogaesoteric

18 février 2019

Spune ce crezi

Adresa de email nu va fi publicata

Acest site folosește Akismet pentru a reduce spamul. Află cum sunt procesate datele comentariilor tale.

This website uses cookies to improve your experience. We'll assume you're ok with this, but you can opt-out if you wish. Accept Read More