Studiu publicat în Jurnalul European de Epidemiologie: Vaccinarea nu diminuează infectarea, ba chiar dimpotrivă
Autorii sunt cercetători la Harvard iar redactorul șef al revistei este președintele Departamentului de Epidemiologie al Universității
Un studiu al unui profesor de Sănătatea Populației de la Universitatea Harvard realizat împreună cu un stagiar la Centrul de Analiză Geografică al Universității Harvard și publicat de Jurnalul European de Epidemiologie demonstrează că vaccinarea nu diminuează numărul infectărilor cu coronavirus, ceea ce răstoarnă rău de tot carul de vacciniști cu tot cu discursul lor oficial, care acum se poate rezuma probabil doar la textul că vaccinatul decedat a avut o moarte mai ușoară. Statisticile prezentate de cei doi cercetători de la Harvard arată că în țările sau regiunile cele mai vaccinate ale lumii nu numai că nu a scăzut numărul celor infectați, dar în multe cazuri acestea au devenit și puternice focare de infecție. La fel s-a petrecut și la nivelul României, unde cele mai infectate orașe sau/și județe au fost și cele mai vaccinate, în cap cu Bucureștiul.

Autorii studiului de la Harvard au analizat 68 de țări și 2.947 de comitate/județe ale SUA. Din păcate, România lipsește din studiu dar în schimb sunt prezente vecinele noastre „nevacciniste”: Bulgaria, cu 17% injectați la acea dată și Ucraina, cu doar 9% înțepați, ignorată din narațiunile oficiale pe tema vaccinării deși este aici, peste gard de noi. Dar are și Ivermectină și Arbidol la farmacii.
Studiul a fost publicat online de Jurnalul European de Epidemiologie la data de 30 septembrie 2021. Aici poate fi consultat în format PDF. După ce cunoscutul profesor Didier Raoult l-a răspândit pe contul său Twitter generând un val de reacții, AFP Franța s-a gândit că poate să-l conteste.
„Jurnalul European de Epidemiologie, al cărui editor sunt și eu, este cea mai bine cotată publicație de specialitate din lume în domeniul epidemiologiei. Aici, publicația demonstrează lipsa de corelație între politica de vaccinare și numărul de cazuri”, a scris Didier pe Twitter pe 8 octombrie 2021.
Într-o tentativă tâmpă de a discredita studiul, un cearșaf întreg semnat de tot AFP Franța concluzionează, pe 14 octombrie, că e „un studiu limitat și greșit interpretat”.
Cercetând cine e AFP Franța – dincolo de trecutul istoric care prezintă agenția cam penetrată adânc de spionajul sovietic – găsim o echipă de factcecări de vreo 12 capete, dintre care 6-7 născute între 1989 și 1996. Niciunul nu este însă de formație medic sau sociolog, ci majoritatea au terminat jurnalismul, unul dreptul, altul istoria sau limbile străine. Mai lipsea un profesor de fizică. Cu toate acestea, echipa semnatară anonim AFP Franța s-a gândit să-l chestioneze pe redactorul-șef al revistei, dr. Albert Hofman, care este chiar președintele Departamentului de Epidemiologie al „micuței” Universități Harvard, cea mai veche instituție de învățământ superior din Statele Unite (1636) și una dintre cele mai prestigioase din lume. Dr. Hofman i-a trimis la plimbare pe „controlorii” AFP-iști explicându-le omenește că este vorba de un articol științific care a fost evaluat de colectivul de specialiști ai revistei, adicălea e „peer-reviewed”, ceea ce înseamnă pe românește că este de nivel academic. Desigur, probabil nu la nivelul larixului autohton dar, cum se zice pe la noi, fiecare cu laboratorul lui și eprubeta din care provine.
De altfel, chiar producătorul celui mai bine mediatizat ser experimental, Pfizer/Comirnaty, recunoaște în prospectul său oficial publicat de Agenția Europeană a Medicamentului că „Impactul vaccinării cu Comirnaty asupra răspândirii virusului SARS-CoV-2 în comunitate nu este încă cunoscut”. De asemenea, „Încă nu se știe cât de mult oamenii vaccinați pot să poarte și să răspândească virusul”. În plus, „În prezent nu se știe cât durează protecția dată de Comirnaty. Persoanele vaccinate în studiul clinic vor continua să fie urmărite timp de 2 ani pentru a aduna mai multe informații despre durata protecției.”
Dar hei, cine să mai citească prospectul când avem atâția actori care să-l interpreteze la TV sau în scenetele ieftine plătite cu bani negri unor vedete prostituate și oricum deja bine injectate, ba chiar ciuruite? O să ne mai vedem noi după 2 ani, vorba producătorului dar și a lui Gigi Becali.
Studiul cercetătorilor de la Harvard are în prezent 2,25 milioane de accesări. Având în vedere importanța lui, prezentăm mai jos fragmentele cele mai relevante ale acestui studiu:
„Creșterea numărului cazurilor de covid-19 nu are legătură cu nivelul de vaccinare în 68 de țări și 2947 de comitate ale Statele Unite
Vaccinurile constituie, în prezent, principala strategie pentru combaterea covid-19 în întreaga lume. De exemplu, se argumentează că relatările despre creșterea continuă a numărului de cazuri noi în Statele Unite (SUA) sunt rezultatul ratelor scăzute de vaccinare din anumite zone. O narațiune similară a fost observată și în țări precum Germania și Regatul Unit. În același timp, Israelul, care a fost lăudat pentru ratele sale rapide și ridicate de vaccinare, a înregistrat, totodată, o revenire în forță a cazurilor de covid-19. Investigăm relația dintre procentul populației complet vaccinate și noile cazuri de covid-19 în 68 de țări și în 2.947 de comitate ale SUA. […]
Constatări
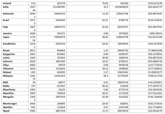
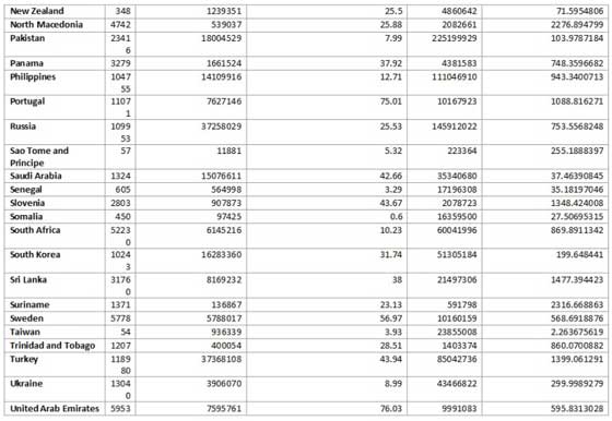
La nivel de țări, nu pare să existe o relație sesizabilă între procentul de populație complet vaccinată și noile cazuri de covid-19 din ultimele 7 zile (Fig. 1). De fapt, linia de tendință sugerează o asociere marginal pozitivă, astfel încât țările cu un procent mai mare de populație complet vaccinată au un număr mai mare de cazuri covid-19 la 1 milion de persoane. De remarcat că Israelul, cu peste 60% din populație complet vaccinată, a înregistrat cele mai multe cazuri de covid-19 la 1 milion de persoane în ultimele 7 zile. Lipsa unei asocieri semnificative între procentul populației complet vaccinate și noile cazuri covid-19 este exemplificată și mai mult, de exemplu, prin compararea Islandei și a Portugaliei. Ambele țări au peste 75% din populație complet vaccinată și au mai multe cazuri covid-19 la 1 milion de persoane decât țări precum Vietnam și Africa de Sud, care au aproximativ 10% din populație complet vaccinată.

De asemenea, la nivelul comitatelor din SUA, mediana cazurilor noi de covid-19 la 100.000 de persoane în ultimele 7 zile este în mare măsură foarte asemănătoare la toate categoriile de procente de populație complet vaccinată (Fig. 2). Se observă, de asemenea, o variație substanțială la nivel de comitat în ceea ce privește numărul de cazuri noi de covid-19 din cadrul categoriilor de procentaj al populației complet vaccinate. De asemenea, nu pare să existe o sesizare semnificativă a scăderii numărului de cazuri covid-19 odată cu creșterea procentului de populație complet vaccinată (Fig. 3).

Dintre primele 5 comitate cu cel mai mare procent de populație complet vaccinată (99,9-84,3%), Centrele pentru Controlul și Prevenirea Bolilor (CDC) din SUA identifică 4 dintre ele ca fiind comitate cu transmitere „ridicată”. Comitatele Chattahoochee (Georgia), McKinley (New Mexico) și Arecibo (Puerto Rico) au peste 90% din populație complet vaccinată, toate trei fiind încadrate la categoria cu transmitere „ridicată”. În schimb, dintre cele 57 de comitate care au fost clasificate de CDC drept comitate cu transmitere „scăzută”, 26,3% (15) au un procentaj al populației complet vaccinate sub 20%.
Întrucât se crede că imunitatea completă conferită de vaccin se obține după aproximativ 2 săptămâni de la a doua doză, am efectuat analize de sensibilitate folosind un decalaj de o lună pentru procentul de populație complet vaccinată, pentru fiecare țară (a lumii) și comitat din SUA. Constatările de mai sus privind lipsa unei asocieri vizibile între cazurile de covid-19 și nivelurile de vaccinare completă au fost observate și atunci când am analizat nivelul de vaccinare completă cu un decalaj de o lună. Menționăm faptul că datele covid-19 se referă la cazurile confirmate, ceea ce este o funcție atât a factorilor de ofertă (de exemplu, diferențele în ceea ce privește capacitățile de testare sau practicile de raportare), cât și a celor de cerere (de exemplu, diferențele în ceea ce privește decizia oamenilor în legătură cu momentul în care e nevoie să se testeze).
Interpretare
Încrederea exclusivă în vaccinare ca strategie principală de limitare a covid-19 și a consecințelor sale adverse este necesar să fie reevaluată, în special având în vedere varianta Delta (B.1.617.2) și probabilitatea apariției unor variante viitoare. Este posibil să fie nevoie și de alte intervenții farmacologice și non-farmacologice (…). O astfel de corectare a direcției, în special în ceea ce privește narațiunea strategică, devine extrem de importantă, având în vedere dovezile științifice emergente referitoare la nivelul de eficacitate al vaccinurilor în lumea reală.
De exemplu, într-un raport publicat de Ministerul Sănătății din Israel, eficacitatea a 2 doze de vaccin BNT162b2 (Pfizer-BioNTech) împotriva prevenirii infecției cu covid-19 a fost raportată ca fiind de 39%, considerabil mai mică decât eficacitatea de 96%, conform studiilor clinice. De asemenea, se pare că imunitatea derivată din vaccinul Pfizer-BioNTech ar putea să nu fie la fel de puternică precum imunitatea dobândită prin recuperarea din covid-19. S-a raportat, de asemenea, o scădere semnificativă a imunității la 6 luni după injectarea cu vaccinurile cu ARNm. Chiar dacă vaccinarea oferă protecție împotriva spitalizărilor cu forme grave și a deceselor, CDC a raportat o creștere de la 0,01 la 9% și de la 0 la 15,1% (între ianuarie și mai 2021) a ratelor de spitalizare și, respectiv, de deces, în rândul celor complet vaccinați.”
Iată și țările cercetate, cu rezultatele specificate în tabel:




Date despre autori și publicare:
Autorii studiului – trimis în data de 17 august Jurnalului European de Epidemiologie, acceptat de revistă, după o revizuire inter-pares, la 9 septembrie și publicat online pe 30 septembrie 2021 – sunt S. V. Subramanian și Akhil Kumar. S. V. Subramanian este cercetător la Centrul Harvard pentru Studii ale Populației și Dezvoltării, din Cambridge, Massachusetts, SUA, și profesor la Departamentul de științe sociale și comportamentale al Facultății de Sănătate Publică „T.H. Chan”, cât și profesor afiliat la Departamentul de Sociologie din cadrul universității Harvard, din Boston, MA, SUA, iar Akhil Kumar este un student eminent de la Turner Fenton Secondary School, Brampton, Ontario, Canada, stagiar la Centrul de Analiză Geografică al Universității Harvard și este autor sau co-autor a numeroase studii științifice.
Citiți și:
Vaccinurile omoară mai mulți oameni decât covid. STUDII
Pfizer a mințit în legătură cu numărul de decese survenite în cadrul studiilor clinice covid: numărul real a fost 21, cu 6 mai multe decât s-a raportat
81 de studii de cercetare confirmă că imunitatea naturală la covid este egală sau superioară celei oferite de vaccinuri
yogaesoteric
4 aprilie 2022