Studiu din New England Journal of Medicine: Pacienții cu covid nevaccinați sunt contagioși pentru mai puțin timp decât cei vaccinați

Un studiu recent publicat în New England Journal of Medicine a arătat că persoanele vaccinate împotriva covid-19 au rămas contagioase pentru o perioadă mai lungă de timp decât persoanele nevaccinate.

Diferența în ceea ce privește contagiozitatea a fost pronunțată între persoanele nevaccinate și cele vaccinate care nu au primit un rapel, scrie The National Pulse, care a prezentat studiul.

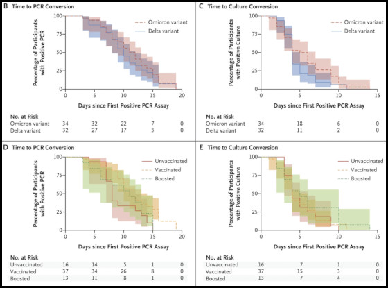
Descoperirile au fost publicate într-o scrisoare către editor, pe 21 iulie 2022, semnată de zeci de medici din mai multe spitale din Boston, Massachusetts, în prestigioasa revistă New England Journal of Medicine. Din iulie 2021 până în ianuarie 2022, cercetătorii au studiat 66 de participanți care au contractat covid-19, între care 32 de persoane infectate cu varianta Delta și 34 de persoane cu varianta Omicron.

Cercetătorii au alcătuit diferite grafice urmărind cât de mult timp au rămas oamenii contagioși, folosind ca indicatori atât teste PCR, cât și culturi virale.

Atunci când au fost împărțite în categoriile „nevaccinați”, „vaccinați” și „cei care au primit rapel”, datele au arătat că persoanele care nu au primit un vaccin anti-covid-19 au fost contagioase pentru o perioadă mai scurtă de timp.

În ceea ce privește testele PCR pozitive, în primele 10 zile de la contractarea virusului, 68,75% dintre subiecții nevaccinați nu au mai fost contagioși. În schimb, doar 29,72% dintre persoanele vaccinate și 38,46% dintre cele care au primit rapeluri nu mai erau contagioase după 10 zile.

La 15 zile de la începutul studiului, 93,75% și, respectiv, 92,31% dintre persoanele nevaccinate și, respectiv, cele care au primit rapel nu mai erau contagioase; totuși, doar 78,38% dintre persoanele vaccinate nu au mai fost contagioase.

Studiul apare după o serie de rapoarte și analize similare efectuate de cercetători, care au ajuns la concluzii similare care contestă eficacitatea vaccinurilor anti-covid-19.

De asemenea, imunitatea naturală s-a dovedit a fi superioară în lupta împotriva infecției inițiale cu covid-19.

În ciuda acestor date, care au fost cenzurate încontinuu de „verificatorii de fapte” pe rețelele de comunicare virtuală, guvernul și mass-media au continuat să promoveze vaccinurile covid-19 fără a-și pune nicio întrebare.

Vaccinurile pentru covid-19 dezvoltate de companii precum Pfizer și Moderna au devenit un cult, care nu mai are legătură cu știința și a cărui punere la îndoială nu e permisă după desfășurarea de campanii masive de lobby și eforturi depuse în acest sens de către giganții farmaceutici.

Citiți și:
Moștenirea covid: oameni tot mai bolnavi
Investigație Epoch Times: Vaccinații reprezintă o proporție mai mare din cazurile de covid-19 în SUA

 

yogaesoteric
6 octombrie 2022

 

Spune ce crezi

Adresa de email nu va fi publicata

Acest site folosește Akismet pentru a reduce spamul. Află cum sunt procesate datele comentariilor tale.

This website uses cookies to improve your experience. We'll assume you're ok with this, but you can opt-out if you wish. Accept Read More