Corpul de Control al Guvernului a cerut verificarea vaccinului hexavalent administrat bebelușilor diagnosticați cu SHU
Corpul de control al primului-ministru a efectuat verificări suplimentare în cazul bebelușilor diagnosticați cu Sindrom Hemolitic Uremic (SHU). Reamintim că în perioada ianuarie – martie a.c. 19 copii au fost diagnosticați cu SHU, cei mai mulți dintre ei fiind din Argeș. Trei bebeluși au decedat în spital. Nici până acum nu s-a stabilit din a cui vină au murit acești copii.
La sfârșitul lunii mai, cazurile de SHU au reapărut, iar la Spitalul Marie Curie au fost internați un copil în vârstă de 1 an și 8 luni din Argeș, unul de 1 an și 2 luni din Bacău și altul de 1 an și nouă luni din București, toți vaccinați cu Hexacima cu câteva luni înainte de debutul SHU.
Corpul de Control al Guvernului a constatat că majoritatea celor internaţi aveau un sistem imunitar slăbit din cauza altor afecţiuni precedente internării. Corpul de control a constatat că bebelușilor le fuseseră administrat anterior vaccinul hexavalent şi alte vaccinuri. Despre ultima variantă adusă în țara a vaccinului hexavalent, şi anume vaccinul Hexaxim, acelaşi Corp de control arată că este un „medicament neautorizat ca să fie pus pe piaţă”. Deci Raportul confirmă că bebelușii au fost folosiți drept cobai.
Aflăm din Raportul Corpului de control că dintre cei 16 bebeluşi îmbolnăviți grav ajunşi în Spitalul de la Pitești, 13 primiseră vaccinul hexavalent Hexacima, 3 primiseră vaccinul Ifanrix şi 2 vaccinul Pentaxim. Surprinde faptul că niciun bebeluș n-ar fi fost vaccinat cu Hexaxim, deşi Ministerul Sănătății afirmase în martie, când doar Hexaximul se găsea pe piață, şi faptul că în perioada dinaintea îmbolnăvirilor un bebeluș fusese vaccinat cu hexavalent şi altul cu ROR.
Ca urmare a celor depistate, Corpul de control s-a adresat Parchetului de pe lângă Înalta Curte de Casaţie şi Justiţie pentru a efectua verificări privind situaţia reală a stocurilor de vaccinuri şi calitatea vaccinurilor administrate. Agenţia Naţională a Medicamentului şi a Dispozitivelor Medicale (ANMDM) arată, într-un comunicat de presă transmis la sfârșitul lunii mai, că documentul a fost făcut public fără o discuție cu ANMDM care să fundamenteze ştiinţific concluziile cuprinse în document.
„În consecinţă, cu regret, constatăm că publicul larg nu a fost informat într-un mod corespunzător, întrucât, în lipsa unor dovezi bazate pe fundamentare legislativă, nota de informare conţine o multitudine de aspecte care denotă o neînţelegere a mecanismelor care au stat la baza punerii pe piaţă a vaccinului hexavalent în forma comercială denumită HEXAXIM”, arată Agenţia Naţională a Medicamentului.
Potrivit ANMDM, ancheta epidemiologică făcută în acest caz nu stabileşte vreo legătură între administrarea vaccinurilor şi apariţia bolii. Vaccinul suspectat pentru moartea copiilor din Argeş este şi el produs de Institutul Pasteur, dar Guvernul nu are bani să continue cercetările. Ca să vezi ce ghinion!
În direct la Antena 3, masonul Adrian Streinu Cercel a exclus posibilitatea ca vaccinurile să fie la baza îmbolnăvirilor copiilor din Argeș. Şi mai şocant este că autorităţile au găsit vaccinul deteriorat în cabinetele unor medici de familie. Este vorba despre un lot de seruri adus din Kazahstan, care nu era destinat pieţei europene.
Raportul Corpului de control al premierului arată că „mare parte dintre copiii internaţi în perioada 18.01.2016 – 11.02.2016 la spitalele din judeţul Argeş şi, ulterior, la Spitalul de Urgenţă pentru Copii Maria Sklodowska Curie şi la Institutul Naţional de Boli Infecţioase Prof. Dr. Matei Balş au prezentat în antecedente multiple internări pentru patologie digestivă şi respiratorie, precum şi anemie carenţială şi rahitism, fapt ce denotă o imunitate scăzută a organismului acestor copii”, iar „unora dintre copiii din judeţul Argeş diagnosticaţi cu afecţiuni grave ale aparatului digestiv şi internaţi la Spitalul de Urgenţă pentru Copii Maria Sklodowska Curie li s-a administrat vaccin hexavalent/pentavalent, furnizat de Ministerul Sănătăţii prin Direcţia de Sănătate Publică Argeş, după cum urmează: vaccinul Hexacima a fost administrat, în perioada 17.09.2014 – 23.11.2015, unui număr de 13 copii; vaccinul Infanrix a fost administrat, în perioada 18.02.2015 – 09.06.2015, unui număr de 3 copii; vaccinul Pentaxim a fost administrat, în perioada 18.02.2015 – 18.06.2015, unui număr de 2 copii”.
Astfel, Corpul de Control a verificat şi achiziţia de către Ministerul Sănătăţii, pentru realizarea campaniilor de vaccinare a copiilor, a unor doze de vaccin hexavalent având ambalaj slovac, bulgar si kazah (destinat pentru piața din Kazahstan, non-europeană), constatând că, deşi Agenţia Naţională a Medicamentului şi a Dispozitivelor Medicale a comunicat Ministerului Sănătăţii faptul că vaccinul Hexaxim, destinat pieţei din Kazahstan, este un „medicament neautorizat de punere pe piaţă”, care deţine numai o opinie ştiinţifică pozitivă din partea Agenţiei Europene pentru Medicamente, prin Autorizaţia pentru furnizarea de medicamente pentru nevoi speciale conform art. 703 alin. (2) din Legea 95/2006 nr. 185/30.12.2015, cu valabilitate de un an, societatea Polisano S.R.L. a fost autorizată să distribuie 107.300 doze x 0,5 ml din vaccinul Hexaxim.
Iar acum, Guvernul spune că nu are 16 mii de euro pentru a testa acest vaccin.
Pentru început, Raportul Corpului de control atrage atenția asupra faptului că o mare parte dintre copiii diagnosticați cu SHU aveau o imunitate scăzută, prezentând „în antecedente multiple internări pentru patologie digestivă și respiratorie, precum și anemie carențială și rahitism (…). Acești copii fuseseră vaccinați, deși – așa cum se subliniază și în raport – în conținutul prospectului vaccinului Hexacima se arată că, înainte de vaccinare este necesară informarea medicului în cazul în care copilul (…) are temperatură moderată sau mare sau o boală acută (de exemplu febră, durere în gât, tuse, răceala sau gripă) sau când urmează un tratament care îi suprimă sistemul imunitar sau are orice altă boală care determină slăbirea sistemului imunitar”.
Din analiza documentelor furnizate Corpului de control al primului-ministru de către Ministerul Sănătății, prin Direcția de Sănătate Publică Argeș, rezultă că unii dintre copiii din Argeș internați la Marie Curie au efectuat vaccinul hexavalent/pentavalent astfel: „vaccinul Hexacima a fost administrat, în perioada 17.09.2014 – 23.11.2015, unui număr de 13 copii; vaccinul Infanrix a fost administrat, în perioada 18.02.2015 – 09.06.2015, unui număr de 3 copii; vaccinul Pentaxim a fost administrat, în perioada 18.02.2015 – 18.06.2015, unui număr de 2 copii”.
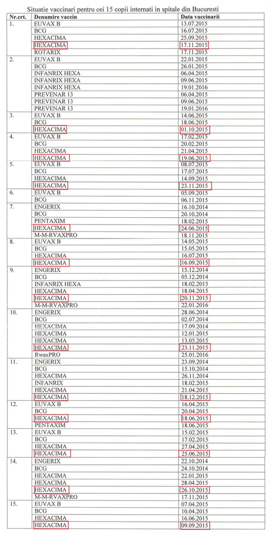
Documentele obținute în exclusivitate de Active News arată că cifrele furnizate Corpului de control al primului-ministru sunt mult prea generale. Conform unui alt raport al Direcției de Sănătate Publică Argeș, din 15 copii diagnosticați cu SHU și internați în spitalele din București, 4 fuseseră vaccinați ultima oară cu Hexacima în iunie 2015, iar 9 în toamna anului trecut sau în decembrie. Cu alte cuvinte, acest vaccin le fusese administrat nu în 2014, ci doar cu câteva luni înainte de debutul bolii.

Institutul Cantacuzino NU poate verifica vaccinurile de import
Ȋn Raportul Corpului de control se arată că societatea Polisano SRL a câștigat contractul în valoare de 146.930.000 RON pentru furnizarea vaccinului hexavalent, oferind cel mai mic preț de achiziție. Ȋn baza acestui contract, Polisano a livrat în 2013 un număr de 205.008 doze de vaccin hexavalent. 11.800 dintre ele erau într-un ambalaj scris în limba slovacă. La acea dată, Polisano anunța și că nu poate livra mai multe doze de vaccin slovac, pentru că unele au fost afectate „de deviația de temperatură”, fiind trecute „în carantină, până la soluționarea neconformității de către producătorul Sanofi Pasteur”. Vorbim de peste 4500 de doze de vaccin.
„Având în vedere lipsa vaccinului hexavalent din evidențele unora dintre Direcțiile de Sănătate Publică, Ministerul Sănătății a aprobat în perioada 2014-2015 redistribuirea acestora”, se precizează în raportul Corpului de control. Astfel, în martie 2014, în Argeș au fost distribuite 1.464 de doze aduse din Giurgiu și Dolj, în Dâmbovița – 1.220 de doze de vaccin aduse din Brăila, iar în Sibiu – 1.282 de doze aduse din Harghita.
Ȋn mai 2015, cu o lună înainte ca 4 dintre copiii diagnosticați cu SHU să fie imunizați cu Hexacim, 400 de doze din acest vaccin erau aduse în Argeș de la Direcția de Sănătate Publică Bihor.
Pentru a elimina suspiciunea privind alterarea vaccinurilor, ca urmare a unei posibile depozitări în condiții necorespunzătoare, Corpul de control a solicitat testarea acestora.
La 25 februarie a.c., Agenția Națională a Medicamentului și a Dispozitivelor Medicale (ANDM) a informat că, pentru efectuarea verificărilor, în cazul vaccinului Hexacima este nevoie de „67 de seringi aparținând aceleași serii de produs”, dar și că timpul necesar efectuării acestor teste este de circa 2 luni, iar costul pentru verificarea tuturor tipurilor de vaccin efectuate de bebelușii cu SHU se ridică la 16.000 de euro.
Ȋn același timp, Institutul Cantacuzino preciza că nu poate efectua „analizele specifice pentru verificarea parametrilor cantitativi și calitativi în cazul vaccinurilor” deoarece „laboratorul nu deține toți reactivii necesari efectuării acestor teste, întrucât aceste produse nu au mai fost fabricate”.
La 29 februarie, Corpul de control a rugat Ministerul Sănătății să dispună „efectuarea analizelor specifice pentru verificarea parametrilor calitativi a două probe” din fiecare vaccin hexavalent cu care vaccinaseră copiii diagnosticați cu SHU. Aceste doze, de Hexacima și M-M-RVAXPRO (fabricat de Merck Sharp & Dohme BV din Olanda) fuseseră găsite în cabinetele medicilor de familie din Argeș.
Și, deși Corpul de control al premierului a revenit cu adrese către Ministerul Sănătății, solicitând urgentarea acestor analize, ele NU sunt gata nici azi, după patru luni.
Parchetul General NU vrea să verifice calitatea vaccinurilor
Ȋntr-unul din cabinetele medicilor de familie din Argeș, Corpul de control a găsit 21 de doze de vaccin depreciate. Ȋntr-un alt caz, s-a descoperit că, în ziua de 3 februarie a.c., un asistent medical, după ce a preluat de la DSP Argeș dozele de vaccin, nu le-a transportat imediat la frigiderul cabinetului, așa cum ar fi fost firesc, ci le-a dus acasă la el. A doua zi, când a venit cu vaccinul la cabinet, a constatat că și celelalte doze din frigider erau depreciate deoarece, conform declarației asistentului, „frigiderul nu era alimentat cu curent și era apă în acesta. Ȋn frigider se aflau vaccinurile.”
Corpul de control a mai aflat și că DSP Argeș nu raporta mai departe adresele prin care cabinetele medicale anunțau numărul și tipul vaccinurilor deteriorate.
La data de 7 martie 2016, Corpul de Control al primului-ministru a adus la cunoștința Parchetului General această situație, considerând că se impune efectuarea unor verificări privind situația reală a stocurilor de vaccinuri existente la nivelul Direcțiilor județene de sănătate publică, a spitalelor și a cabinetelor medicale individuale, dar și asupra calității vaccinurilor administrate sau aflate asupra celor abilitați să pună în aplicare programul de imunizare a copiilor.
Și, deși Corpul de control sesizase o problemă deosebit de gravă, privind sănătatea și siguranța copiilor noștri, o problemă existentă la nivel național, Parchetul General a comunicat, printr-o adresă din 23 martie a.c., că sesizarea „a fost trimisă Parchetului de pe lângă Tribunalul Argeș, pentru a fi avută în vedere la soluționarea dosarului nr. 202/P/2016 (n.r. – dosar în care se cercetează decesul celor trei bebeluși din Argeș)”.
Vaccinul din Kazahstan, folosit pentru că era mai ieftin
Ȋn perioada octombrie 2013 – februarie 2016, Polisano a livrat în România 20.042 de doze de Hexacima în ambalaj bulgăresc, 11.800 de doze de Hexacima în ambalaj slovac, 89.000 – în ambalaj românesc și, atenție!, 107.300 de doze de vaccin Hexaxim, destinat pieței din Kazahstan.
La 22 octombrie 2015, Agenția Națională a Medicamentului și Dispozitivelor Medicale a supus atenției Ministerului Sănătății, prin adresa nr. 53637, „(…) situația generată de necesitatea extinderii perioadei de evaluare și potențiala respingere a cererii de comercializare pe teritoriul României a vaccinului Hexaxim, destinat pieței din Kazahstan, (…) medicament neautorizat de punere pe piață, care deține numai o opinie științifică pozitivă din partea EMA, conform articolului 58 din Regulamentul CE 726/2004.”
Contrar celor susținute în adresa de mai sus, la 30 decembrie 2015, ANMDM emitea însă o autorizație pentru ca Polisano să livreze cele 107.300 de doze de vaccin.
La 27 ianuarie 2016, Sanofi Pasteur SA trimitea o adresă Ministerului Sănătății, prin care ruga autoritățile române „să-și revizuiască poziția” în sensul „acceptării dozelor kazahe de Hexaxim.”
Ȋntrebați fiind de Corpul de control al premierului de ce nu a fost reziliat contractul cu Polisano, având în vedere că în clauze nu era trecut niciun vaccin adus din Kazahstan, autoritățile din Ministerul Sănătății au precizat că rezilierea ar fi dus la „achiționarea vaccinului la un preț mai mare”, având în vedere că Polisano oferea doza de vaccin la 104,95 RON, iar din 2015 prețul fusese majorat la 158.98 Ron cu TVA (GSK) și, respectiv, 250,83 RON cu TVA (Sanofi Pasteur).
Ȋn viziunea celor care administrează banii publici, totul are un preț. Inclusiv viața sau sănătatea copiilor noștri.
Vor fi verificate autorizațiile de punere pe piață a vaccinurilor
Corpul de control al premierului a propus, printre alte măsuri, ca până la 15 iunie 2016 Ministerul Sănătății să transmită documentele preluate în legătură cu achiziționarea de vaccinuri în perioada 2013-2015, în cadrul Programului național de imunizare, către echipa de control din Cadrul Corpului de control al primului-ministru care efectuează verificări la Agenția Națională a Medicamentelor și Dispozitivelor Medicale, în scopul:
. verificării legalității emiterii de către ANMDM a autorizațiilor de punere pe piață a vaccinurilor achiziționate de Ministerul Sănătății, în perioada 2013-2015;
2. verificării la ANMDM a următoarelor aspecte:
a) monitorizarea reacțiilor adverse produse de vaccinurile hexavalente cu ambalaj în limbile slovacă, bulgară, kazahă distribuite pe piața din România;
b) luarea tuturor măsurilor asiguratorii astfel încât vaccinurile hexavalente cu ambalaj în limbile slovacă, bulgară, kazahă distribuite pe piața din România să fi fost administrate corect de către personalul medical din unitățile incluse în programul național de imunizare;
c) respectarea cerinței privind transmiterea periodică la ANMDM a listelor cuprinzând unitățile incluse în programul de imunizare la care vaccinurile hexavalente, cu ambalaj în limbile slovacă, bulgară, kazahă, exceptate de la etichetare în limba română, au fost distribuite.
Iulian Capsali (facebook): Vaccinul mai și ucide
În sfârşit, secretul lui Polichinelle a fost descoperit. Copiii care au murit în Argeş din cauza SHU nu s-au contaminat, aşa cum spunea Băsescu, din cauza nespălării pe mâini a mamelor, nici din cauza brânzeturilor contaminate de la o mică făbricuță românească ajunsă aproape la faliment prin stupiditatea şi laşitatea ministrului Achimaș – care trebuia să-şi acopere mafia din Sănătate, despre care a făcut declaraţii cu jumătate de gură zilele trecute, atunci când şi-a dat, tardiv, demisia. Nici din alte cauze, care de care mai fanteziste (găinile din curte, apa contaminată etc.).
Cauza morţii copiilor este una singură: VACCINUL. Doar câţiva au avut curajul să spună asta de la început, în corul de huiduieli al „progresiştilor” şi în ciuda perdelelor de fum peste afacerile din România de multe sute de milioane de euro ale marilor companii Pharma, din care mass-media principală mai primeşte ciozvârte. Culmea este că au fost aduse studii ştiinţifice pe post de argument, dar care au fost tratate preeminent. Vaccinul este, în mentalul progresist, un pisc la care a ajuns ştiinţa; a devenit un mit modern al infailibilităţii injectate cu fervoare mistică.
Numai media independentă a făcut investigaţii empirice pe temă (ArgesPlus, ActiveNews etc.) şi a pus în discuţie această cauză.
Ca o paranteză, paralel cu transportarea de urgenţă a copiilor cu probleme gastrice în spitalele de urgenţă – unii care au intrat în şoc şi au murit, alţii care vor rămâne cu sechele pe viaţă –, cozile de topor din ministere pregăteau de zor o lege a vaccinării industriale OBLIGATORII!
România, o imensă piață cu mulţi cobai umani, a acceptat inclusiv comercializarea unui lot de vaccinuri destinate pieţei non-europene (Kazahstan) produs de Sanofi Pasteur şi care nu avea decât avize parţiale.
Totuşi, cum spune şi prietenul George Stoian, este „pentru prima dată când un prim ministru al României dă dovadă de bărbăţie şi responsabilitate şi cere verificarea calităţii vaccinurilor injectate copiilor din această ţară. Chiar dacă este vorba despre o verificare nu prea aprofundată, reprezintă un mare pas înainte faptul că se admite posibilitatea ca vaccinurile să fi îmbolnăvit cel puţin o parte dintre copiii diagnosticaţi cu SHU.
Vaccinurile sunt produse biologice care pot fi contaminate şi, drept urmare, pot afecta grav copiii vaccinaţi şi, în unele cazuri, pot chiar să ucidă. Este esenţial să înţelegem, cât mai mulţi dintre noi, că vaccinurile nu sunt «nectarul zeilor» ci sunt produse biologice care trebuie verificate şi răsverificate înainte de a fi injectate (cu acordul liber exprimat al părinţilor) copiilor.
Sper că bunul-simţ va reuşi să învingă
şi că vom fi din ce în ce mai mulţi cei care vom înţelege că injectarea cu forţa a produselor biologice numite vaccinuri reprezintă o idee de sorginte nazistă extrem de periculoasă şi pe care nu trebuie să o acceptăm sub nicio formă.
Vaccinurile sunt şi trebuie să rămână produse biologice opţionale, iar părinţii trebuie convinşi cu argumente raţionale (fiindu-le câştigată încrederea) de către companiile farmaceutice şi de către autorităţile medicale şi NU OBLIGAŢI să îşi vaccineze copiii.”
Cu cât documentarele care incriminează vaccinurile pentru autism şi neuropatii vor fi interzise, cu cât cazurile de copii cu sechele pe viaţă (am rude şi prieteni cu copii-legumă) sau care au murit vor fi ascunse de autorităţi, cu cât presiunea BigPharma asupra statului se transformă într-un aliaj politic sufocant şi terorist – ajungând până la transferul de autoritate de la părinţi la stat, exact ca în experimentele naziste din Germania şi Norvegia ocupată –, cu atât va trebui ca glasul nostru, al părinţilor responsabili să răsune mai puternic şi să acopere vacarmul făcut de cei pentru care nu există oameni decât ca numere pe tabelul în PowerPoint în care îşi admiră profiturile imense.
Tehnocraţii o dau după cireş şi arată cu degetul spre „pixelul albastru” în ceea ce priveşte posibila legătură dintre bebeluşii bolnavi din Argeş şi vaccinurile care le-ar fi fost administrate.
Redăm mai jos comunicatul Guvernului trimis redacţiei PSnews.ro la scurt timp după miezul nopţii:
„Precizări: cu privire la Nota de informare privind rezultatul verificărilor suplimentare efectuate de către Corpul de control al Primului-ministru, în legătură cu situația copiilor transferați cu afecțiuni grave de la Spitalul de Pediatrie Pitești la Spitalul Clinic de Urgență pentru Copii «Marie Sklodowska Curie». Corpul de Control al Primului-ministru nu a identificat cauza îmbolnăvirilor copiilor transferați de la Spitalul de Pediatrie Pitești la Spitalul Clinic de Urgență pentru Copii Marie Curie. În cadrul acțiunii de documentare efectuate au fost identificate însă neconformități în cadrul sistemului de sănătate, care au fost menționate în nota întocmită la finalul acestei acțiuni. Nicăieri în cuprinsul notei nu este menționata existența vreunei legături între neconformitățile identificate, privind aprovizionarea și gestionarea stocurilor de vaccinuri și afecțiunile copiilor de la Spitalul de Pediatrie Pitești. O astfel de legătură ar fi de altfel imposibilă din punct de vedere medical, iar orice speculație în acest sens este lipsită de fundament.”
Dacă vreți să vedeți cât de bine sau cât de rău o duce o țară, uitați-vă în primul și-n primul rând dacă populația ei crește sau scade. Dacă ritmul actual se menține, românii vor ajunge minoritari la ei în țară.
Depopularea țării se petrece sub ochii noștri. România are cea mai mare mortalitate infantilă din Uniunea Europeană. Nu numai că se nasc din ce în ce mai puțini copii în România dar și cei care se nasc sunt „ajutați” să moară cu zile. „Ultimii” copii „ajutați” să moară cu zile din iresponsabilitatea statului au fost bebelușii morți recent de SHU.
Impozitarea resurselor noastre în acești 26 de ani ar fi trebuit să fie cel puțin la nivelul din Marea Britanie unde impozitarea totală e de 63% pentru cele dificil de exploatat și de 82% pentru cele facil de exploatat. Suntem jefuiți de 26 de ani de propriile noastre bunuri și am fost aduși la sapă de lemn. Iar jaful ucide mai ales copiii. La noi impozitarea resurselor e de 3,5% redevențe plus 16% pe impozitul pe profit, profit care e și el la rândul lui sifonat „la greu”.
Concluzii detaliate: Unde suntem acum cu investigația Guvernului legată de influența vaccinurilor asupra îmbolnăvirilor bebelușilor
Dacă citiți Raportul Guvernului veți vedea că, de fapt, nici acum Ministerul nu are o concluzie clară 100%, deși raportul vorbește în proporție de 75% din cuprinsul său despre investigația făcută referitor la vaccinuri ca fiind o posibilă cauză a îmbolnăvirilor bebelușilor. E de mirare și că se vorbește de acest lucru, deoarece oricine cerea până acum o investigație serioasă era făcut „extremist” și „conspiraționist”, iar subiectul era tabu în presă și la televiziunile de propagandă ale sistemului care ne abureau cu E.coli, portocale, pui din curte, supiță de vacă și lactate Brădet. Şi mai grav a fost faptul că primului bebeluș mort la Marie Curie nu i s-a făcut autopsie, lucru despre care Raportul nu amintește, din păcate, nimic.
Alături de ziariști și de acoperiți manipulatori și mincinoși au participat și dirijat aceste acțiuni și propagandiști de la Ministerul Sănătății și de la Marie Curie. „Deschiderea de-acum” e mai degrabă un semn rău decât un semn bun. E semn că lucrurile au ajuns în asemenea hal – au murit bebeluși fără să știm oficial „de ce” – încât există oameni care s-au gândit să facă totuși ceva. Asta dacă nu cumva asistăm la un nou tip de manipulare, cea „cu jumătăți de adevăr” în loc de „cenzura totală”, practicată până acum.
Raportul propune ca Institutul Cantacuzino sa facă un test pe bază de reactivi referitor la conținutul vaccinurilor în cauză, teste care nu s-au făcut pentru că ar fi lipsit 16.000 de euro (suma lipsă e de râsul lumii)… Raportul propune ca aceste teste să se facă până în luna iulie. Ne punem însă întrebarea: Ce legătura au reactivii cu SHU? Niciuna… Reactivii ne pot zice multe despre conținutul vaccinurilor dar nu despre declanșarea unui SHU atipic (SHU-ul este o reacție „nefireasca” – o „supraturare” a sistemului imunitar uman). De-asta e Hexaximul în perioada de monitorizare ca să poată fi testat de unii pe ființe umane reale – mai exact pe cobaii din România care, din nefericire, sunt niște bieți bebeluși. Dacă aceștia ar fi putut să-și testeze vaccinul doar cu niște „reactivi” ar fi fost ușor și n-ar mai fi fost nevoie de cobai animali și umani. Desigur, testarea calității vaccinurilor de către Institutul Cantacuzino e un lucru îmbucurător și ar trebui să se facă în permanență, doar că una-i una și alta-i alta: declanșarea sau nu a SHU-ului nu poate fi testată cu „reactivi”.
Raportul recunoaște însă că au fost 17 vaccinări făcute copiilor îmbolnăviți grav – dintre care 13 erau cu hexavalent. Deci nu erau zero bebeluși vaccinați cu hexavalent cum s-a spus anterior într-un comunicat din martie și nu erau nici 1 bebeluș vaccinat cu hexavalent și unul ROR cum s-a spus în alt comunicat tot din martie, comunicate care se băteau cap în cap, unul cu celălalt. Numai că în continuare nu se dau cifre despre numărul vaccinărilor cu Hexaxim făcute în țară, nici la bebelușii îmbolnăviți și nici la toți ceilalți bebeluși din țară, și nu se spune absolut nimic nici despre vaccinările de orice fel făcute în ianuarie – februarie – martie (Hexaximul a fost adus la sfârșitul lui ianuarie). Se spune însă răspicat că Hexaximul a fost adus și dat spre vaccinare ILEGAL.
Cităm din raport că Hexaximul era „neautorizat pentru punerea pe piață” și că, prin urmare, aducerea lui a încălcat normele în vigoare. Se recunoaște deci, implicit, că toți bebelușii din țară au fost folosiți pe post de cobai în ceea ce privește Hexaximul. Se mai recunoaște că unele dintre vaccinurile administrate ar fi fost păstrate și manipulate necorespunzător, ceea ce ar fi periclitat sănătatea bebelușilor – numai că nu faci SHU din asta… Nu s-au corelat vaccinările din Argeș cu situația vaccinărilor și a îmbolnăvirilor bebelușilor din întreaga țară – Corpul de control fiind strict direcționat doar asupra Spitalului din Argeș.
Nu s-a făcut o investigație despre persoanele din Ministerul Public și din Spitalele de Stat – în special cele din Spitalul Marie Curie – care au dezinformat repetat în legătură cu cauzele îmbolnăvirilor bebelușilor: reamintim aici manipulările cu E.coli, portocale, fructe, legume, carne, Lactate Brădet etc… Reamintim aici diverse personaje ca Rafila sau Bălgrădean care au spus la intervale scurte de timp lucruri care se băteau cap în cap cu ceea ce tot ele spuseseră anterior. Ei au fost principalii manipulatori ai sistemului alături de Achimaş care probabil că repeta ceea ce i se spunea.
În concluzie, deși se spun lucruri care până acum nu au mai fost spuse în România, s-au făcut „jumătăți de investigații” și s-au tras „jumătăți de concluzii” – ca „să se împace și capra și varza”. Desigur, doar studiile clinice medicale complete care s-ar putea declanșa doar dacă Guvernul înființează un Organism Național dedicat Monitorizării și Cercetării Medicale asupra Vaccinurilor, asupra Medicamentelor, asupra Dezinfectanților (și nu numai), ar putea face lumină completă în astfel de situații. Dar la cât de corupt e sistemul, nu știm dacă un astfel de organism ar investiga ceva cu adevărat și dacă ar publica statisticile reale. Numeroși medici și șefi de spitale din țară sunt sponsorizați în mod direct de Industria Pharma Internațională și mulți dintre ei fac teste direct pe pacienți, care, săracii, habar n-au ce anume se testează pe ei.
Poate că am avea o şansă dacă acest Organism de Cercetare și Control ar fi arondat pe lângă Academia Română și s-ar baza pe Institutul Cantacuzino. Poate dacă ar fi sub o strictă supraveghere. Dar a cui? Din moment ce SRI-ul consideră că diluarea dezinfectanților din spitale timp de ani de zile nu ține de siguranța națională, iar de vaccinurile neautorizate date bebeluşilor n-a suflat o vorbă. Suntem sat fără câini. Am ajuns o stână condusă de lupi îmbrăcați în haine de oaie.
De asemenea, Guvernul trebuie să sesizeze Organizația Mondială a Sănătății în legătură cu suspiciunile existente asupra calității unor vaccinuri. Faptul că nu a făcut-o (cum a făcut-o Vietnamul, de exemplu, într-un caz asemănător) ne arată că nu se vor lua măsuri radicale.
Totuși e de apreciat că a fost sesizat Parchetul de pe lângă Înalta Curte de Casaţie şi Justiţie în legătură cu vaccinurile care au fost date bebelușilor: ca urmare a celor depistate, Corpul de control s-a adresat Parchetului de pe lângă Înalta Curte de Casaţie şi Justiţie pentru a efectua verificări privind situaţia reală a stocurilor de vaccinuri şi calitatea vaccinurilor administrate.
La câte manipulări am văzut, sperăm să fie un început și nu „un strop de sinceritate” prin care se-ncearcă „o anumită deschidere” care să îngroape totul „în mod transparent”. Dar mai ales, sperăm ca jumătățile de adevăr despre dezinfectanții diluați și despre vaccinuri în perioada lor de probă să nu fie doar pretextul folosit cu mârșăvie pentru privatizarea Sănătății. Ar fi ca și cum, în loc să omorâm căpușele, ne-am vinde oile pe motiv că sunt pline e căpușe. Nu am face decât să ne trezim că NU vom mai avea NIMIC. Iar șerpii care ne susură zilnic ce bine ne-ar fi dacă ne-am vinde și ultimele oi, pe nimic, pe motiv că sunt slabe și pline de căpușe, sunt din ce în ce mai mulți.
Citiți și:
Dovezi ştiinţifice: Bacteria E. coli nu poate fi cauza decesului copiilor şi nici a sindromului hemolitic uremic
Argumente împotriva vaccinărilor obligatorii. Vaccinare sau criptototalitarism?
yogaesoteric
26 iunie 2016