O discuție academică despre măști


Odată cu legislaţia care impune purtarea măştilor în spaţiile închise sau aglomerate, există numeroase discuţii cu privire la eficacitatea acestora. În cazul epidemiilor de gripă, din punct de vedere științific răspunsul este deja clar: în viața de zi cu zi măștile nu au vreun efect sau au un efect minor. Ba dacă sunt folosite impropriu, ele chiar pot crește riscul de infecție.

Este ironic, dar cel mai bun și cel mai recent exemplu îl reprezintă des menționata Japonie. În pofida măștilor ubicue purtate de oameni, Japonia a experimentat cel mai puternic val gripal chiar cu un an în urmă, în ianuarie și februarie 2019, când aproximativ cinci milioane de oameni s-au îmbolnăvit.

Totuși, spre deosebire de coronavirusurile SARS, virusurile gripale sunt transmise și de copii. În fapt, Japonia a închis aproape 10.000 de școli în 2019 din cauza acestei gripe.

În ceea ce privește virusul SARS-1 din 2002 și 2003, există unele dovezi că măștile medicale pot oferi o protecție parțială împotriva infecției. Însă SARS-1 s-a răspândit aproape exclusiv în spitale, i.e. într-un mediu profesional, și abia dacă a atins publicul în general.

Spre deosebire, un studiu din anul 2015 a demonstrat că măștile din țesături folosite astăzi sunt permeabile la 97% dintre particulele virale din cauza mărimii porilor și pot mări riscul de infecție prin aceea că mențin umezeala.

Unele studii recente au susținut că măștile de zi cu zi sunt cu toate acestea eficiente în cazul noului coronavirus și cel puțin ar putea preveni infecția altor persoane. Totuși, aceste studii suferă din cauza unei metodologii precare și demonstrează contrariul a ceea ce pretind.

În mod caracteristic, aceste studii ignoră efectul altor măsuri simultane, dezvoltarea naturală a numărului de infecții, schimbările în numărul de testări, sau compară țări care au condiții foarte diferite.

O privire de ansamblu:

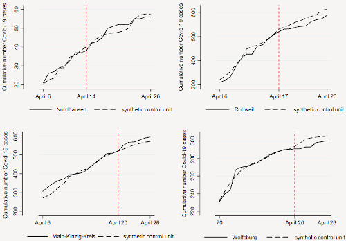
Un studiu german a pretins că introducerea obligativității măștilor în orașele germane a condus la o scădere a infectărilor. Însă datele nu sprijină această concluzie: în unele orașe nu a fost nicio modificare, în altele a fost o descreștere, în altele numărul de cazuri s-a mărit (vezi graficele de mai jos). Orașul Jena, prezentat drept model, a introdus în același timp cele mai dure măsuri de carantină din Germania, însă studiul nu a menționat acest aspect.

Un studiu din revista PNAS a afirmat că măștile au dus la o descreștere a numărului de cazuri în trei focare (inclusiv în New York City). Acest studiu nu a luat în calcul descreșterea naturală a infecțiilor plus celelalte măsuri. Studiul era atât de defectuos încât peste 40 de oameni de știință au recomandat retragerea lui.

Un studiu din SUA a ajuns la concluzia că măștile obligatorii au condus la o descreștere a infectărilor în 15 state. Studiul nu a luat în considerare faptul că incidența infecțiilor era, la acel moment, deja pe o pantă descendentă în majoritatea statelor. De asemenea, nu s-a făcut nicio comparație cu alte state.

Un studiu canadian a pretins că țările unde s-au introdus măștile obligatorii au avut mai puține morți decât țările care nu au introdus această măsură. Dar studiul a comparat țări din Africa, America Latină, Asia și Europa de Est, care au rate de infectare și structuri ale populației foarte diferite.

Un meta-studiu din revista Lancet a afirmat că măștile „ar putea” conduce la o reducere a riscului de infectare, dar studiile au luat în considerare în special spitalele (Sars-1) iar forța dovezilor a fost apreciată ca fiind „slabă”.

Drept urmare, beneficiul medical de pe urma purtării măștilor continuă să rămână îndoielnic. În orice caz, un studiu comparativ realizat de University of East Anglia a ajuns la concluzia că măștile obligatorii nu au vreun efect măsurabil asupra incidenței infectărilor și morților de Covid. Este de asemenea limpede că folosirea pe scară largă a măștilor nu a putut opri izbucnirea epidemiei în Wuhan.

Suedia a demonstrat că și fără carantină, fără măști obligatorii și cu una dintre cele mai mici capacități de terapie intensivă din Europa, spitalele nu au fost copleșite. În fapt, mortalitatea anuală din Suedia se află în marja sezoanelor antecedente de gripă.

În orice caz, autoritățile nu ar fi cazul să sugereze populației că măștile obligatorii reduc riscul de infecție, de pildă, în transportul public, deoarece nu există nicio dovadă în sprijinul acestei teze. Cu mască sau fără mască, există un risc crescut de infecție în zonele de interior foarte aglomerate.

Interesant, dar cererea de introducere a obligativității măștilor la nivel mondial are drept portdrapel un grup de lobby numit „mask4all” (măști pentru toți) care a fost fondat de „un tânăr lider” al Forumului de la Davos.

Citiţi şi:
Și dacă măștile nu doar că nu ajută, dar chiar dăunează? Ce spun unele studii și unii medici despre purtarea măștilor pentru combaterea epidemiei
Dr. Adina Alberts: Obligativitatea purtării unei măști în spațiul public închis, la serviciu sau în școală, nu poate fi impusă tuturor
Există cipuri în măşti, dar cu ce scop? Explicaţiile «liniştitoare» sunt doar pentru cei daţi cu șmirghel pe creier


yogaesoteric
21 septembrie 2020

Spune ce crezi

Adresa de email nu va fi publicata

Acest site folosește Akismet pentru a reduce spamul. Află cum sunt procesate datele comentariilor tale.

This website uses cookies to improve your experience. We'll assume you're ok with this, but you can opt-out if you wish. Accept Read More